Hydrologické údaje
Základní údaje o vodních tocích na území obce Pertoltice
Nejvýznamnějším vodním tokem pro obec Pertoltice je Pertoltický potok, hydrologické pořadí 2-04-10-02-70. Pramení jako vodní tok Z Rybníčka v lokalitě Za Statkem nad Horními Pertolticemi, vtéká do Šálkova rybníka a z něj již vytéká jako Pertoltický potok.
V rámci projektu Mikroregionu Frýdlantsko byl v obci vybudován automatický hlásný profil kategorie „C“, který bude v případě dosažení kritických hodnot rozesílat varovné sms na určení mobilní telefony.

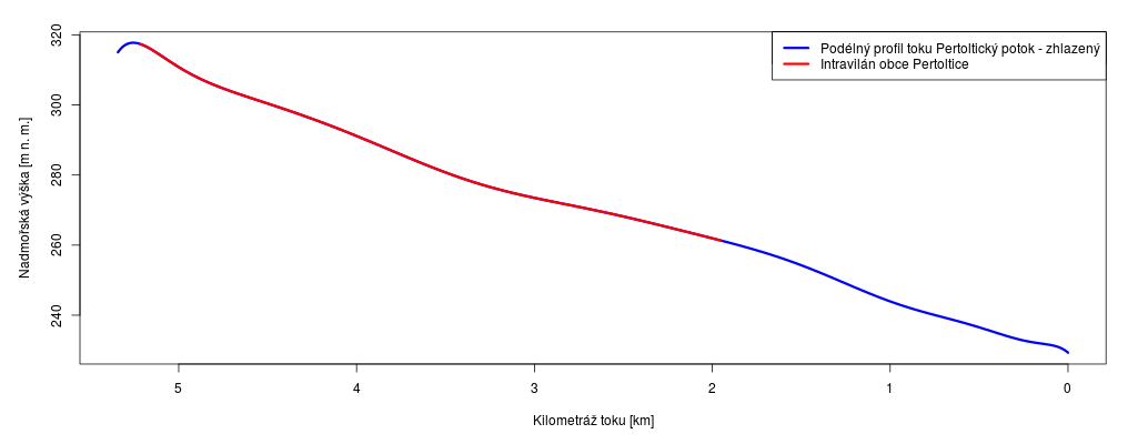
Podélný profil toku Pertoltický potok

Vodní toky na území obce Pertoltice
Základní údaje o vodních dílech na území obce Pertoltice
Na území obce Pertoltice se nachází celkem 5 vodních nádrží.